在電子電路設計中,晶振的每一項參數都與產品命運息息相關——哪怕只差0.1ppm,也可能讓整板“翻車”。看似最基礎的術語,正是硬件工程師每天必須跨越的隱形門檻。由于內容較長將分為上下兩篇文章解釋,本文是下篇,介紹內容有:
· 共振頻率
· 晶振術語
> 諧振頻率
在產品描述中,有三對諧振頻率,即:“串聯諧振頻率”和“并聯諧振頻率”(fs和fp)“諧振頻率”和“反諧振”頻率,(fr和fa),和“最大和最小總電納定位”頻率,(fm和fn)。由圖9所示的集總等效電路參數均可得到。上述三對諧振頻率的定義和關系可以用圖10所示的復導納圖清楚地表示。
(圖10)諧振復數導納
石英諧振器的關鍵頻率參數可通過導納和阻抗分析確定:串聯諧振頻率(fs):輸入電導(導納實部)最大時對應的頻率。此時,晶振阻抗達到最小值,且為純電阻性。并聯諧振頻率(fp):輸入電阻(阻抗實部)最大時對應的頻率。此時,晶振阻抗達到最大值,且為純電阻性。諧振頻率(fr)與反諧振頻率(fa):電納(導納虛部)為零時的兩個頻率,是實際應用中的核心參數。在等效電路中:動態參數:動電容(C1)、動電感(L1)決定諧振特性。靜態電容(C0):并聯支路中的寄生電容,影響高頻響應。
> 術語
1)標稱頻率及其公差或校準精度晶體諧振器的頻率以MHz或kHz標稱,指在特定負載電容下,指在匹配振蕩電路中應得的“正常頻率”。在25°C基準溫度下,實測頻率與標稱值存在最大允許偏差,以百分比(%)或百萬分率(ppm)給出。
2)基音和泛音振動厚度切變振動是AT切角主要存在的振動形式。電極間的高次諧波振動與基頻振動共存。由于兩個電極的極性相反,壓電石英晶體只能激發奇數次諧波振動。
(圖11)晶體諧振腔只能激發奇數次諧波振動
3)負載電容負載電容CL是從諧振器兩端觀察電路時振蕩器所展示的負載。負載電容形式上與諧振器串聯或并聯。在并聯負載情況下,CL的存在會影響并聯諧振頻率,并聯諧振頻率fL由。公式如下所示。fl=fs√1+C1/(C0+CL)-------(3)
4)頻率-溫度穩定性頻率-溫度穩定性指以25°C為基準,隨工作溫度變化而產生的頻率偏移(以%或ppm計)。其曲線反映偏移量與溫度偏差的對應關系,受切割角度、振動模式、晶片尺寸以及工作溫區、負載電容和驅動功率共同決定。
5)等效串聯電阻(ESR)串聯支路中出現的電阻R1(圖9)可以在串聯諧振頻率下測量,此時C1和11的影響相互抵消,R1表示晶體單元和封裝的機械性損失。
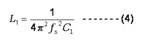
6)運動電容C1和運動電感L1C1與L1這兩個參數與串聯諧振頻率fs相關,如圖10所示,在諧振器設計和表征中fs是一個非常確定的參數。工業標準中只規定了C1的值,L1可以由下方公式推導得出。與振蕩電路中通常使用的電容相比,C1的值非常小,可以由晶片和電極的材料和幾何參數來評估。
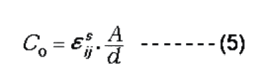
7)靜態電容C0(在支路中)C0是一個靜態電容,無論晶體是否工作都存在,C0的值可以在很低的頻率(小于或約1.0MHz)測得,計算公式如下,其中A為電極面積,d為切片厚度,e為相應晶體切片的介電常數。在實際應用中,C0不僅包括電鍍石英裸片的靜態電容,還包括導電結合材料的電容和封裝外殼本身的電容。
8)驅動功率諧振器的驅動功率是以納瓦、微瓦或毫瓦為單位的功率消耗量。運行功率是保證正常啟動并保持穩態振蕩的合適功率范圍。驅動功率應設置在最低功率,避免長期運行帶來的頻率漂移和晶體損壞。晶體尺寸越小,其最大可承受的驅動功率也越低,多數場合下建議驅動功率為10 µW–100 µW。
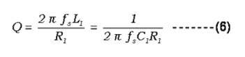
9)質量因子-Q
作為諧振器,質量因子Q值是一個非常重要的參數。在規格中,指定了空載和有負載情況下的Q值。空載Q或機械Q可以表示為,R1是出現在串聯支路的電阻。負載值取決于負載電路。
10)牽引率在并聯負載電容振蕩器中,振蕩頻率與負載電容CL有關,如圖8和圖12所示。頻率變化(單位ppm)作為負載電容變化(單位pF)的函數是固定的。在某些應用中,負載諧振頻率的變化是強制性的(例如VCXO),需要強制指定牽引率。
(圖12)頻率變化vs負載電容
11)老化老化指在規定時段內工作頻率的相對偏移,以ppm計,呈指數衰減。首周變化最快,隨后趨緩。常用加速方法:85°C存放1個月,或25°C存放1年。老化速率受封裝方式、密封完整性、工藝、材料、工作溫度與頻率共同影響。
12)存儲溫度范圍存儲溫度范圍指晶體斷電時可長期承受的極限低溫與高溫。只要全程處于該范圍,恢復工作并在額定溫度區間內運行時,所有指標仍應符合規格書要求。
13)負阻-R負電阻是振蕩電路在諧振器端子處呈現的等效電阻。起振的必要條件之一,是放大器提供足夠增益以抵消諧振腔的損耗;對諧振器而言,負載須呈現足夠大的負電阻來補償其自身電阻。