最新电影在线观看,jrs低调看直播,avav天堂,囯产精品宾馆在线精品酒店,亚洲精品成人区在线观看

  • 回復
  • 收藏
  • 點贊
  • 分享
  • 發新帖

你的ripple,我的ripple,為啥不一樣?

網上已經有很多文章講解電源的紋波測試,告訴大家測試要“AC耦合”、“20M帶寬限制”、“最小化接地環路”等設置條件。

看了這么多,想必大家對這個測試項目達到了“爛熟于心,閉眼可測"的地步,如下為一些比較典型的紋波測試波形。

但是這些波形長得各有特點,每個人測的都不太一樣,不免心生疑惑:

我這個紋波波形怎么和別人測得長的不一樣?

這個紋波的P-P值這么大,符合SPEC要求嗎?

紋波太大,有什么辦法可以減小一些?

帶著上面的疑惑,今天我們不談如何測紋波,帶你重新認識紋波。

什么是“ripple”?

如何定義一個“good ripple”?

“ripple” 的P-P多大為合理?

誰影響了“ripple”的大小?

01

什么是“ripple”?

紋波是指電源輸出電壓疊加在直流電壓上的周期性交流成分,很拗口的表述。

通俗的定義,即紋波為電感電流輸出電容進行充放電形成的電壓規律性波動。因此,有兩個關鍵因素影響紋波:

一是電感電流;

二是輸出電容;

為了更好的理解紋波的定義,建立如下buck 仿真模型,觀察紋波與電感電流、輸出電容的關系。

V1 :供電電源;

S2、D1:分別為簡化的上下管開關;

L1、C1:輸出電感和輸出電容;

R1:輸出負載;

仿真參數:Vin=12V,Vout=6V, Fsw=100k,L=5uH,Cout=47uF,Rload=1R

在仿真模型中添加4個測量點,分別測試開關節點波形(SW)、電感電流(IL)、輸出電容電流(I_Cout)、輸出電壓(Vo),運行仿真得到仿真波形。

仿真波形:

仿真結論:

① 從IL(綠色波形)可以看出,電感電流為標準的三角波,平均電流等于輸出電流6A,峰峰值電流為0.75A。

輸出電容上的電流為頻率相同,以零點分布的三角波電流,峰峰值電流也為0.75A 

輸出電容的電流(ic)大小等于電感電流(iL)減去負載電流(iload)

② 流經輸出電容的電流ic對電容的充放電形成了電壓紋波,即

電容兩端的電壓隨著充放電周期性變化,就形成了輸出電壓上的紋波。

02

如何定義一個“good ripple”?

我們希望設計出的電源紋波“乖巧動人”,具備以下特點:

①周期性穩定:紋波波形與開關頻率一致,周期性好

②無尖峰:沒有明顯的尖峰干擾或高頻噪聲

③幅度較小:紋波電壓的峰峰值(Vpp)較小

實際設計中,受設計參數、PCB布局、反饋控制等各種因素,紋波表現出現較大的差異性,紋波標準設置為多少才為合理?

03

“ripple” 的P-P多大為合理?

紋波為AC分量,以峰峰值(P-P)來衡量紋波的大小。但是在大部分產品手冊或器件手冊中,并沒有給出具體的峰峰值要求,只是給出了輸出電壓要求(DC值),如下面兩個數據手冊中。

intel ATX3 Desktop Platform供電要求:

JESD79-4 DDR4 供電要求:

在沒有明確要求紋波大小的電源中,一般有兩個方式來制定紋波規范要求。

方式一: 根據輸出電壓設置不同的紋波要求等級,以消費電子產品為例。

假設設計電源輸出為0.8V,則紋波要求為小于20mV; 電源輸出為1.8V,則紋波要求為小于50mV。

方式2:根據電壓的DC值,設置ripple的百分比分量(比較合理的方法)

如DDR4中關于VDD供電要求為1.2V,DC電壓范圍為1.26-1.14=120mV。

這120mV為DC要求的電壓范圍,假設以此同樣作為紋波的峰峰值要求。

120mV的紋波,即為±60mV, 假設實際測試中紋波為-40mV,但是某個瞬間負載增大導致了-30mV的電壓跌落。

從DC 電壓要求和AC紋波要求看-30mV和-40mV都是符合要求的,但是30mV的直流跌落加上40mV的交流紋波,一共存在70mV的電壓降。1.2V-0.07V=1.13V,這很明顯超過DC spec要求,供電穩定性存在風險。

為了充足的電源裕量,常見做法是取DC spec 總體的二分之一或四分之一作為ripple spec,具體多少取決于裕量要求。

如VDD的DC SPEC要求為120mV,那ripple取二分之一或四分之一,即60mV或40mV,那么ripple spec即為±30mV或±20mV。

04

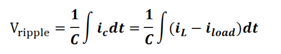
誰影響了ripple的大小?

通過上面的積分公式:

我們可以進一步簡化紋波計算公式:

得出影響紋波的三要素:

① 電感電流峰峰值△IL與ripple為正比關系。

② 開關頻率Fsw和輸出電容值Cout與ripple為反比關系。

影響因素1:電感電流

仿真參數:Vin=12V,Vout=6V, Fsw=100k,Cout=47uF,Rload=1R。

在Buck的簡化模型中,其他參數不變的情況下,將電感值更改為3uH、5uH、7uH

仿真數據:

仿真波形:

仿真結論:

①電感值變大后,電感電流峰峰值變小,則輸出紋波減小。

②電感的核心作用是 “阻礙電流變化”,這種能力隨L的增大而增強。電感值變大后,抑制電流變化的能力變強,所以電感電流峰峰值降低,從而導致輸出紋波減小。

影響因素2:開關頻率

仿真參數:Vin=12V,Vout=6V, L=5uH,Cout=47uF,Rload=1R。

在Buck的簡化模型中,其他參數不變的情況下,將開關頻率分別更改為100k、300k、800k。

仿真數據: 

仿真波形:

仿真結論:

①開關頻率增加后,導致電感電流峰峰值減小,則輸出紋波減小。

②開關頻率越高,單位時間內的電流變化越小,因此電感電流更平滑,導致輸出電容上的電流波動也更小,從而輸出紋波更小。

因此可見,開關頻率增加導致紋波減小的本質還是減小了電感電流,那么兩者關系可以從電感公式推導出:

從電感電流計算公式,可得電感電流峰峰值(△I)與開關頻率(Fsw)呈反比關系,與仿真數據相符。

影響因素3:輸出電容

仿真參數:Vin=12V,Vout=6V, Fsw=100k,L=5uH,Rload=1R

在Buck的簡化模型中,其他參數不變的情況下,將輸出電容更改為47uF*1、47uF*2、47uF*3

仿真數據:

仿真波形:

仿真結論:

①輸出電容容值增加后,不會導致電感電流發生變化,而只是減小輸出紋波。

②輸出電容的作用是 “存多余的電、補不夠的電”。電容越大,“存電 / 補電的能力” 越強,電壓就越不容易忽高忽低,輸出紋波越小。

05

本章小結

通過紋波的計算公式:

我們得出了影響紋波值的三個重要因素:電感(電感電流)、開關頻率、輸出電容,其中電感和開關頻率都是通過影響電感電流從而影響了輸出紋波。

全部回復(0)
正序查看
倒序查看
現在還沒有回復呢,說說你的想法