前面幾篇WIFI 基礎知識分享,有很多朋友后臺留言,希望可以擴展一下射頻部分的知識,這也正與我的規劃內容不謀而合,后續將繼續分享射頻的一些基礎電路和射頻元器件,所有分享大部分將以WIFI電路為實例說明.
首先我們來看一份射頻系統框圖:
說明:上圖中紅色虛線框內一般為芯片部分,就是我們說的RF芯片,虛線框以外的部分為我們WIFI產品通常需要設計的電路部分,當然這部分現在也比較集成了,就是我們常說的FEM(射頻前端模塊).
如下是我們實際的一個WIFI 2.4G頻段的射頻電路框圖:
說明:其中AR9350為射頻芯片,TX,RX match就是我們所說的巴倫電路.現在也有很多方案巴倫已經集成進芯片內部.今天我們就先從巴倫電路開始.我將以WIFI電路中分離巴倫電路來說明.
如下為實際的巴倫電路:
一.什么是巴倫?
巴倫( Balance-unbalance,BALUN)是英文“平衡-不平衡變換器”縮寫的音譯。這里的平衡就是指差分信號形態,不平衡就是指單端信號形態。
二.理想巴倫的特點
-
有三個端口,一個單端,兩個差分端,并且兩個差分端的阻抗相等。
2. 兩個差分端口的信號幅度相等,但是相位相差180°。
3. 總的插損從單端到差分端是0。
三、巴倫的作用
-
提供在平衡和不平衡信號模式之間進行轉換。即我們所說的差分轉單端,單端轉差分。
-
可以提供阻抗變換。最常見的阻抗變換比是1:4(或者4:1)。一些巴倫還可以提供其他阻抗轉換比,如1:9(和9:1)、1:10(和10:1)或1:16(和16:1)。
-
具有較大比率的阻抗變換器一般用于將高阻抗平衡天線與低阻抗不平衡無線接收器、發射器或收發器相匹配。
四、巴倫電路結構
UI 分別經過低通、高通得到反相的UO1 、UO2,如下圖所示:
計算Uo1:
計算Uo2:
通過計算可知UO1 、UO2始終有180度相差(Differential)適合在Balance系統上傳輸。
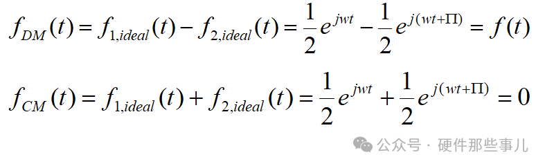
五、理想的巴倫
在平衡系統中,信號被分為差模和共模,理想的巴倫平衡輸出的相移180°,幅值為輸入信號的1/2.
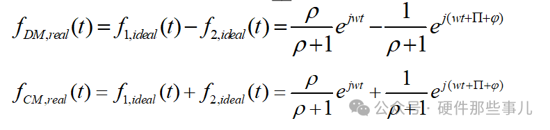
六、實際的巴倫
正如我們所看到的,理想的巴倫轉換器完全消除了共模。因此,共模抑制是無限的。現在,如果我們有一個具有非理想特性的真正平衡-不平衡轉換器,會發生什么?相位差不再是180°,由其中一個輸出路徑中的相位誤差j表示。此外,兩個輸出路徑的包絡振幅不相等,由振幅比r表示。因此,一個輸出的振幅是另一個輸出振幅的r倍,但兩者之和必須保持相等。這些條件被代入公式:
我們定義功率共模抑制比(CMRR)為無損耗巴倫轉換器的輸入信號功率與共模信號功率之比:
CMRR VS 相位和振幅誤差
七、巴倫的分類
-
理想的變壓器巴倫是單端和差分對之間轉換的良好候選者。變壓器巴倫的最大優點是其頻率響應具有幾乎無限的帶寬。此外,巴倫的插入損耗可以設置為零,因為它是一個理想的巴倫。
-
LC 巴倫的最大優點是它的簡單性:它可以在實驗室中快速輕松地實現。同時LC 巴倫的行為具有相當寬的頻帶頻率響應.
-
與LC巴倫相比,微帶線巴倫的頻率響應更寬。此外,它的突出優點是成本低,因為它的基本部件是微帶線。但是它對生產制作要求較高。
微帶線A的長度為0.5個波長,微帶線B的長度為0.25個波長,波長為在實際基板上的信號波長,需要考慮基板的介電常數。巴倫的性能與所用的節數有關,節數越多,頻寬越寬,不過節數越多,尺寸也越大.
以上幾種類型的巴倫,我工作中遇到的也就LC巴倫。如文章前面所列舉的WIFI 2.4G 射頻TX balun 電路。我們就用實際電路做一個仿真驗證一下:
AC(2.4G頻段)仿真結果如下:
再來看看S參數的仿真:
總結:以上是我們拿一個實際的巴倫電路來仿真,發現無論是衰減,還是相位都不能完美的與理論值相符合?這是為什么呢?歡迎大家留言討論!